Featured
How To Find P And Q In A Quadratic Equation
How To Find P And Q In A Quadratic Equation. The quadratic formula is used to solve quadratic equations. (you can choose a however you want.) for example, if p = 2 3 , and q = 7 8 , then

Solving the lyapunov equation atp +pa+q = 0 we are given a and q and want to find p if lyapunov equation is solved as a set of n(n+1)/2 equations in n(n+1)/2 variables, cost is o(n6) operations Let a, a 2 be the roots of the equation. We know that a quadratic equation will be in the form:
Comparing The Given Equation With Ax 2 + Bx + C = 0, A = P + 1, B =.
X 2 + ax + bc = 0 and x 2 + bx + ca = 0 have a non zero common root and a ≠ b. B + q = αβ + α 2 = α (α + β) = ap/2. Which in turn give the possible values for p.
If B*B < 4*A*C, Then Roots Are Complex (Not Real).
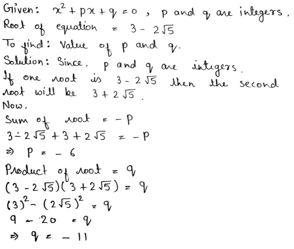
Ax2 + bx + c = 0 a x 2 + b x + c = 0. Find the value of p and q. Below is the direct formula for finding roots of the quadratic equation.
These Scenarios Relate Directly To A Particular Form Of The Quadratic Equation:
Solving the lyapunov equation atp +pa+q = 0 we are given a and q and want to find p if lyapunov equation is solved as a set of n(n+1)/2 equations in n(n+1)/2 variables, cost is o(n6) operations Y = ax2 + bx + c (or the standard form). Comparing both the equations we have a=6 and b=25.
Quadratic Equation In Standard Form:
The coefficient of \(x^{2}\) must not be zero in a quadratic equation. Quadratic function in vertex form: (you can choose a however you want.) for example, if p = 2 3 , and q = 7 8 , then
There Are The Following Important Cases.
Y = ax 2 + bx + c. When the discriminant ( b2−4ac) is: Ax 2 + bx + c = 0.
Popular Posts
Height Of Complete Binary Tree With N Nodes
- Get link
- X
- Other Apps
Comments
Post a Comment